Technical Informations / Hydraulic Calculations
IDENTIFICATION OF PIPE CROSS-SECTION
If flow rate is stable in water flow way, continuity balance is maintained.

a : Pipe cross section ( mm2 )
v : Flow rate ( m/s )
To calculate the necessary pipe cross-section, below practical and useful formulae is used:

Q* : Load amount ( m3/h )
Q** : Load amount ( l/h)
PRESSURE LOSSES
Below values substantially effects the hydraulic pressure losses:
- Length of Pipe line
- Pipe diameter of straight line
- Pipe smoothness
- Pipe connections (fittings and armatures)
- Fluid density
- Flow form (regular or irregular flow)
TTotal pressure losses are the sum of separate pressure losses as stated below:

Calculation of Separate pressure losses
* Pressure loss in the straight pipe line DpR
Below formulae is used for High energy loss (hv) or pressure loss (Dp) due to decreasing flow amount, flow rate and pressure decrease in the HDPE Pipes.

I : Length of pipe line (mm)
v : Average fluid flow rate (m/h)
p : fluid density (kg/m3)
l : Friction co-efficient (0.02 sufficient)
g : Gravity (9,81 m/s2)
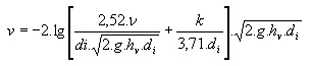
High energy loss means the height differences on the slopes in order to obtain desired flow rates in the line.Friction co-efficient I is under the scope of general formulae below:

o : Kinematic fluidity of water ( 1.31.16-6 m²/s )
k :Hydraulic smoothness value of pipe internal surface (m)
Below table presents smoothness k values for various pipe types.

| Line Type | Smoothness k (mm) |
|---|---|
| Steel, new | 0,01 .... 0,1 |
| Ductile pipe, new | 0,0001 .... 1 |
| Ductile pipe, old | 0,03 .... 0,2 |
| HDPE - FCS | 0,007 .... 0,015 |
| Concrete pipe, new | 1,0 .... 2,0 |
| Ceramics pipe | 0,1 .... 1,0 |
| Old pipe | 2,0 |
Kb value that defines the service smoothness:
- Wall smoothness
- Straightness of Pipe line
- Water-hammer
- Additional inlet lines
- Manholes
- Inlet and Outlet storages
Pressure losses in Fittings DpF:

p : Fluid density (kg/m3)
v : Flow rate (m/h)
n : Number of Fittings
Pressure losses in armatures DpA :

p : Fluid density (kg/m3)
v : Flow rate (m/h)
n : Number of Fittings
Resistance value of armatures is between 0.5 and 5.0. This value is known by the armature producer.
Pressure losses in the pipe connections Dpv

Positive ζ Value : Pressure decrease
Negative ζ Value : Pressure increase
va : Inlet flow rate
vd : Outlet flow rate
vs : Total inlet flow rate
vx : Fitting inlet flow rate
WATER-HAMMERING
During opening/shutting the valve or pump, water-hammer may occur in the line. For this, theoretically, greater ps:
a: Spread rate of pressure wave (m/h)
v0: Flow rate of fluid (m/h)
p: Fluid density (kg/m3)