معلومات تقنية / مرونة
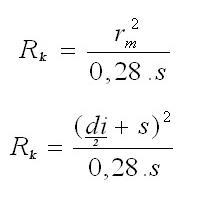
نصف قطر الإنحناء لأنابيب البولي إيثيلين

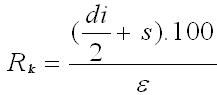
- Rk : نصف قطر الإنحناء الحرج (ملم)
- rm : طول العامِد (ملم)

ε: معدل انفعال السطح الخارجي (%)
فيما يتعلق بأنابيب أف سي أس تؤخذ قيمة لـ ε = 1.0%. نصف قطر الإنحناء الأصغر الذي يوصى به لأجل أنابيب أف سي أس
فيما يتعلق بأنابيب أف سي أس تؤخذ قيمة لـ ε = 1.0%. نصف قطر الإنحناء الأصغر الذي يوصى به لأجل أنابيب أف سي أس

Recommended return diameter for FCS pipes;

